Der Weg zur Kreislauffähigkeit
Um Initiativen im Bereich der Kreislaufwirtschaft wirksam voranzubringen, müssen Geschäftsmodelle und Lieferketten gezielt aufeinander abgestimmt werden. Für Unternehmen ist insbesondere die dafür notwendige Transformation herausfordernd. Erste Forschungsergebnisse zeigen zwei mögliche Wege auf, die anhand eines realen Beispiels veranschaulicht werden.
Text: Patricia Deflorin, Selina Steiner / Abbildung: FH Graubünden
Um die globale Erwärmung zu stoppen, müssen die Emissionen so rasch wie möglich reduziert werden. Damit wächst der Druck auf Unternehmen, nachhaltige und gleichzeitig wirtschaftlich tragfähige Lösungen zu entwickeln. Ein vielversprechender Ansatz ist hierbei die Kreislaufwirtschaft. Sie beschreibt ein System, in dem Ressourcen durch Wiederverwendung, Reparatur, Recycling und nachhaltiges Design möglichst lange im Umlauf gehalten und Abfälle minimiert werden. Die ganzheitliche Umsetzung eines solchen Systems erfordert jedoch eine bewusste Abstimmung von Geschäftsmodellen und Lieferketten. Hier setzt Circulus an – ein Forschungsprojekt, das von Innosuisse, der Schweizerischen Agentur für Innovationsförderung, gefördert wird. Gemeinsam mit Forschungspartnern der Zürcher Hochschule für Angewandte Wissenschaften und des Switzerland Innovation Park Biel/Bienne begleitet die FH Graubünden Unternehmen der Maschinen-, Elektro- und Metallindustrie (MEM) dabei, kreislauffähige Geschäftsmodelle und Lieferketten zu entwickeln und umzusetzen.
Zirkuläre Geschäftsmodelle und Lieferketten
Produkt-Service-Systeme, also Geschäftsmodelle wie Pay-per-Use, bei denen sich der Fokus vom einmaligen Produktverkauf hin zu einer langfristigen Nutzung verschiebt, sind besonders effektiv, um die Kreislauffähigkeit voranzutreiben. Beim Pay-per-Use-Modell zahlen Kundinnen und Kunden nur für die tatsächliche Nutzung, während Anbieter eine nachhaltige Wertschöpfung erzielen, die über den reinen Verkauf hinausgeht. Setzen Unternehmen Pay-per-Use-Modelle ein, sind sie motiviert, langlebige, reparierbare und wiederverwendbare Produkte zu entwickeln, da deren Zuverlässigkeit und Langlebigkeit direkt die Wirtschaftlichkeit des Geschäftsmodells bestimmen. Im Zentrum des Pay-per-Use-Modells steht das Wertversprechen eines einwandfrei funktionierenden Produkts. Dieses ermöglicht nicht nur die Verwendung von wiederaufbereiteten Produkten, sondern auch von wiederaufbereiteten Teilen für Reparaturarbeiten. Denn solange das Wertversprechen erfüllt wird, liegt die Entscheidung, ob notwendige Reparaturen mit aufbereiteten oder neuen Teilen erfolgen, beim anbietenden Unternehmen.
Ein Hauptunterschied zwischen konventionellen und kreislauffähigen Geschäftsmodellen besteht in der Lieferkette, also in der Art und Weise, wie Produkte hergestellt, vertrieben und zurückgeholt werden. Zirkuläre Lieferketten in der MEM-Industrie erfordern Strategien zur Schliessung, Verlangsamung oder Verengung (Steigerung der Ressourceneffizienz) von Kreisläufen sowohl auf Maschinen- als auch auf Komponentenebene. Gleichzeitig müssen zusätzliche Aktivitäten implementiert werden. Als Beispiel sei die Rückführung von Maschinen und Komponenten genannt: Hierfür sind oftmals Kooperationen mit Partnern entlang der Lieferkette notwendig, die Zugriff auf die Maschinen und Komponenten haben und bereit sind, diese dem betreffenden Unternehmen zurückzuführen. Dies führt dazu, dass neue Lieferanten- und Kundenbeziehungen entstehen oder bestehende Beziehungen vertieft werden.
Herausforderung: Transformation
Während die Chancen von zirkulären Geschäftsmodellen in der Wissenschaft und Praxis bekannt sind, liegen die Herausforderungen in der dafür notwendigen Transformation. Im Rahmen von «Circulus» wurde deshalb in einem ersten Schritt eine Auslegeordnung möglicher zirkulärer Geschäftsmodelle vorgenommen. Dabei wurde gemeinsam mit den beteiligten Unternehmen eine Vielzahl an produkt- und servicebasierten Geschäftsmodellen mit unterschiedlichem Potenzial hinsichtlich ihrer Kreislauffähigkeit entwickelt. Da sich die Transformation jedoch nicht nur auf die Geschäftsmodelle, sondern auch auf die Lieferketten bezieht, wurden in einem zweiten Schritt die Implikationen auf die Lieferketten analysiert. Konkret wurde untersucht, welche Lieferkettenstrategien (Schliessung, Verlangsamung, Verengung) auf welcher Ebene (Maschinen- und/oder Komponentenebene) erforderlich sind, welche neuen Aktivitäten in der Lieferkette implementiert werden müssen und welche Auswirkungen diese Implementierung auf Kooperationen hat (Vertiefung bestehender und/oder Aufbau neuer Kooperationen).
Die konkrete, schrittweise Ausgestaltung der Transformation wird in einem dritten Schritt untersucht. Diese Fragestellung wurde in der aktuellen Forschung bislang unzureichend behandelt. Erste Ergebnisse werden im Folgenden anhand eines konkreten Beispiels erläutert.
Von der Theorie zur Umsetzung – ein Praxisbeispiel
Die Thermoplan AG ist eines der in «Circulus» involvierten Unternehmen und zählt zu den führenden Entwicklern und Herstellern von Kaffeevollautomaten. Eines der geplanten Geschäftsmodelle sieht das Angebot von wiederaufbereiteten Maschinen mit einer Pay-per-Use-Ertragsmechanik vor. Das heisst, Kundinnen und Kunden bezahlen mit diesem Geschäftsmodell nicht mehr für die Maschinen selbst, sondern pro Nutzung, also pro zubereiteter Kaffee-Einheit.
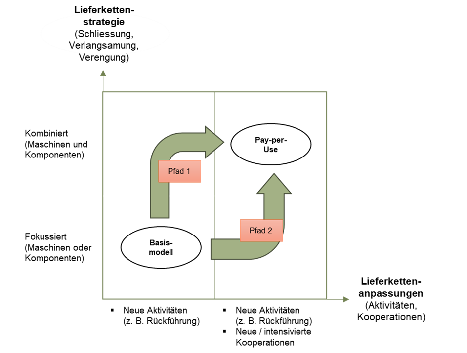
Die Ergebnisse zeigen, dass die Transformation zum angestrebten Zielzustand (Pay-per-Use-Modell) über zwei unterschiedliche Pfade erfolgen kann.
Bei beiden Pfaden bildet ein Basismodell (Verkauf von wiederaufbereiteten Maschinen oder Komponenten) den Ausgangspunkt. So kann sich die Thermoplan AG zunächst auf die Umsetzung neuer Aktivitäten (z. B. die Aufbereitung und Rückführung) auf Maschinen- oder Komponentenebene fokussieren.
Der erste Pfad konzentriert sich zunächst auf die Kombination von Prozessen auf Maschinen- und Komponentenebene: Lieferkettenstrategien zur Schliessung, Verlangsamung und Verengung der Kreisläufe auf Maschinen- und Komponentenebene werden optimiert (falls bestehend), implementiert (falls neu) sowie aufeinander abgestimmt.
Der zweite Pfad fokussiert zunächst auf die erforderlichen Partnerschaften in der Lieferkette. Dazu gehören beispielsweise die Vertiefung bzw. der Aufbau von Kooperationen für den Austausch der für das Pay-per-Use-Modell erforderlichen Daten.
Die Transformation zu mehr Kreislauffähigkeit erfordert somit abgestimmte Massnahmen in Geschäftsmodellen und Lieferketten. Für Unternehmen ist es entscheidend, sich auf einen der beiden möglichen Pfade zu fokussieren und die Transformation damit gezielt voranzutreiben.
Beitrag von
Prof. Dr. Patricia Deflorin, Forschungsleiterin, Schweizerisches Institut für Entrepreneurship
Selina Steiner, Wissenschaftliche Projektleiterin, Schweizerisches Institut für Entrepreneurship
